Započni novu temu Odgovori na temu  [ 322 Posta ]  Idi na stranicu Prethodni  1 ... 7, 8, 9, 10, 11, 12, 13  Sledeća
Autoru Poruka
PostPoslato: 14.06.2015. 08:09:55 

Pridružio se: 08.07.2014. 19:23:59
Postovi: 113
Godina: I
Smer: IS
Probacu 14 tako, a sta je fora sa 11 stvarno ne znam :0


Share on FacebookShare on TwitterShare on Google+
Vrh
 Profil  
Odgovori sa citatom  
PostPoslato: 14.06.2015. 08:50:03 
Korisnikov avatar

Pridružio se: 15.04.2015. 11:39:31
Postovi: 97
Lokacija: Beograd
Godina: Dipl.
Smer: IS
Meni jedino na pamet padaju vektori, mozda se preko njih nekako moze resiti zadatak, ali nisu zadate nikakve koordinate. Da je pravougli trougao bilo bi potpuno drugacije. :D

_________________
“Quiet people have the loudest minds.” Stephen Hawking


Share on FacebookShare on TwitterShare on Google+
Vrh
 Profil  
Odgovori sa citatom  
PostPoslato: 14.06.2015. 10:53:10 

Pridružio se: 08.07.2014. 19:23:59
Postovi: 113
Godina: I
Smer: IS
Ja se s vektorima nigde nisam susrela ni na testovima ni u zbirci :D


Share on FacebookShare on TwitterShare on Google+
Vrh
 Profil  
Odgovori sa citatom  
PostPoslato: 14.06.2015. 11:24:57 

Pridružio se: 11.05.2015. 12:23:53
Postovi: 20
Godina: Padobranac
Smer: ME
Blues Blues ladno sam okacila pogresnu sliku, ali hvala u svakom slucaju, resila sam na kraju i onaj nesudjeni :D nEGO KAko vam se cini probni.. ? http://upis.fon.bg.ac.rs/vesti/2015/Res ... 6grupe.pdf nek slika NEKO (BluesBlue kladim se na tebe ) 5, (ovaj sa z ) nesto gresim ne dobijam tacno. :fokus: :pitamse:


Share on FacebookShare on TwitterShare on Google+
Vrh
 Profil  
Odgovori sa citatom  
PostPoslato: 14.06.2015. 12:15:55 

Pridružio se: 13.06.2015. 19:52:25
Postovi: 14
Godina: Padobranac
Smer: IS
Lagan je probni, a taj sa kompleksnim brojevima samo fino da postavis, onda ide lagano

(3-i)(x+yi) +x -yi + y = 6+i

Ovde grupises sve sa i i izjednacis sa jedan, takodje i sve bez i, i izjednacis sa 6
Ostaje ti jos samo da resis sistem, i dobijes x=1 i y = 1


Share on FacebookShare on TwitterShare on Google+
Vrh
 Profil  
Odgovori sa citatom  
PostPoslato: 14.06.2015. 12:17:23 
Korisnikov avatar

Pridružio se: 15.04.2015. 11:39:31
Postovi: 97
Lokacija: Beograd
Godina: Dipl.
Smer: IS
Evo tog zadatka, mene je bunilo Im(z). :D


Prikačeni fajlovi:
IMG_20150614_131645.jpg
IMG_20150614_131645.jpg [ 92.05 KiB | Pogledano 6890 puta ]

_________________
“Quiet people have the loudest minds.” Stephen Hawking
Share on FacebookShare on TwitterShare on Google+
Vrh
 Profil  
Odgovori sa citatom  
PostPoslato: 14.06.2015. 13:13:44 

Pridružio se: 13.06.2015. 19:52:25
Postovi: 14
Godina: Padobranac
Smer: IS
E raja, znam ja sta je fora sa 11.


Share on FacebookShare on TwitterShare on Google+
Vrh
 Profil  
Odgovori sa citatom  
PostPoslato: 14.06.2015. 13:18:57 

Pridružio se: 13.06.2015. 19:52:25
Postovi: 14
Godina: Padobranac
Smer: IS
Evo slika, kasnije samo preko Heronovog obrasca dobijete P ATB i pomnozite sa 3 :D


Prikačeni fajlovi:
11304520_10204701992365163_620190531_n.jpg
11304520_10204701992365163_620190531_n.jpg [ 82.05 KiB | Pogledano 6872 puta ]
Share on FacebookShare on TwitterShare on Google+
Vrh
 Profil  
Odgovori sa citatom  
PostPoslato: 14.06.2015. 13:28:25 

Pridružio se: 13.06.2015. 19:52:25
Postovi: 14
Godina: Padobranac
Smer: IS
Pošto težišne linije dele trougao na 6 trouglova jednakih površina, a ATB sadrži dva takva trougla


Share on FacebookShare on TwitterShare on Google+
Vrh
 Profil  
Odgovori sa citatom  
PostPoslato: 14.06.2015. 13:51:05 
Korisnikov avatar

Pridružio se: 15.04.2015. 11:39:31
Postovi: 97
Lokacija: Beograd
Godina: Dipl.
Smer: IS
osmak1989 je napisao:
Pošto težišne linije dele trougao na 6 trouglova jednakih površina, a ATB sadrži dva takva trougla

Kako dobijes da ti je c=5 cm. Jel mozes da napises detaljan postupak ako te ne mrzi? :D

_________________
“Quiet people have the loudest minds.” Stephen Hawking


Share on FacebookShare on TwitterShare on Google+
Vrh
 Profil  
Odgovori sa citatom  
PostPoslato: 14.06.2015. 13:57:47 
Korisnikov avatar

Pridružio se: 15.04.2015. 11:39:31
Postovi: 97
Lokacija: Beograd
Godina: Dipl.
Smer: IS
A sad vidim da je to dato u zadatku, nije tesko. Dobro si se setio da tezisne duzi dele trougao na 6 jednakih delova, meni to nije palo na pamet. :D

_________________
“Quiet people have the loudest minds.” Stephen Hawking


Share on FacebookShare on TwitterShare on Google+
Vrh
 Profil  
Odgovori sa citatom  
PostPoslato: 14.06.2015. 14:57:08 

Pridružio se: 13.06.2015. 19:52:25
Postovi: 14
Godina: Padobranac
Smer: IS
Je li ko od vas bio na probnom ?


Share on FacebookShare on TwitterShare on Google+
Vrh
 Profil  
Odgovori sa citatom  
PostPoslato: 14.06.2015. 16:54:03 

Pridružio se: 28.03.2015. 19:07:29
Postovi: 8
Godina: Padobranac
Smer: UK
Jel moze neko da postavi resen ovaj zadatak sa trepezom sa probnog? Hvala. :)


Share on FacebookShare on TwitterShare on Google+
Vrh
 Profil  
Odgovori sa citatom  
PostPoslato: 14.06.2015. 17:29:39 
Korisnikov avatar

Pridružio se: 15.04.2015. 11:39:31
Postovi: 97
Lokacija: Beograd
Godina: Dipl.
Smer: IS
Posto je u zadatku dato da je kruznica opisana oko trapeza, verovatno se koristi neka osobina tetivnog cetvorougla.

_________________
“Quiet people have the loudest minds.” Stephen Hawking


Share on FacebookShare on TwitterShare on Google+
Vrh
 Profil  
Odgovori sa citatom  
PostPoslato: 14.06.2015. 17:52:22 
Korisnikov avatar

Pridružio se: 15.04.2015. 11:39:31
Postovi: 97
Lokacija: Beograd
Godina: Dipl.
Smer: IS
Jedno je sigurno, dat je jednakokraki trapez. Kada se sve nacrta na slici dobiju 2 jednakokraka trougla sa bazom 15 i krakovima 25cm. Preko pitagorine teoreme se odredi visina za krak c. Kada se dobije c onda bi to trebalo da se ubaci u formulu za povrsinu trougla. Kada se dobije ukupna povrsina trougla onda kao baza bi trebala da se stavi 25cm sto je precnik opisane kruznice i baza trapeza i dobije visina trougla sto je istovremeno i visina tapeza. Nesto mi ne ispada kao u resenju. :D

_________________
“Quiet people have the loudest minds.” Stephen Hawking


Share on FacebookShare on TwitterShare on Google+
Vrh
 Profil  
Odgovori sa citatom  
PostPoslato: 14.06.2015. 18:50:50 

Pridružio se: 13.06.2015. 19:52:25
Postovi: 14
Godina: Padobranac
Smer: IS
Radi se na drugi nacin, trenutno sam u frci, pa cu postaviti zadatak za sat vremena. Nije toliko tezak kao sto se cini


Share on FacebookShare on TwitterShare on Google+
Vrh
 Profil  
Odgovori sa citatom  
PostPoslato: 14.06.2015. 19:11:26 

Pridružio se: 08.07.2014. 19:23:59
Postovi: 113
Godina: I
Smer: IS
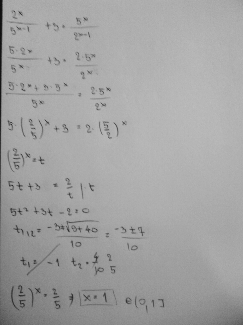
Osmak1989, hvala za onaj zadatak iz 2005 :) da li neko od vas zna sa probnog zadatak sa logaritamskom jednacinom? Onaj u kome imamo 2 na x i 5 na x? :)


Share on FacebookShare on TwitterShare on Google+
Vrh
 Profil  
Odgovori sa citatom  
PostPoslato: 14.06.2015. 19:16:48 
Korisnikov avatar

Pridružio se: 15.04.2015. 11:39:31
Postovi: 97
Lokacija: Beograd
Godina: Dipl.
Smer: IS
Sa kog probnog, ovog od juce ili neka druga godina ? Posto na onom od juce nema zadatak sa 2 na x i 5 na x. :)

_________________
“Quiet people have the loudest minds.” Stephen Hawking


Share on FacebookShare on TwitterShare on Google+
Vrh
 Profil  
Odgovori sa citatom  
PostPoslato: 14.06.2015. 19:38:37 

Pridružio se: 13.06.2015. 19:52:25
Postovi: 14
Godina: Padobranac
Smer: IS
Ma nista ribice :D
A evo vam ovaj sa trapezom, ako ne skontate sa slike, samo pitajte, mnogo lose crtam ( a trudio sam se ).


Prikačeni fajlovi:
1.jpg
1.jpg [ 71.53 KiB | Pogledano 6823 puta ]
Share on FacebookShare on TwitterShare on Google+
Vrh
 Profil  
Odgovori sa citatom  
PostPoslato: 14.06.2015. 19:39:37 

Pridružio se: 13.06.2015. 19:52:25
Postovi: 14
Godina: Padobranac
Smer: IS
Ja sam na ovaj nacin radio, verovatno postoje i mnogi drugi :D


Share on FacebookShare on TwitterShare on Google+
Vrh
 Profil  
Odgovori sa citatom  
PostPoslato: 14.06.2015. 20:01:03 
Korisnikov avatar

Pridružio se: 15.04.2015. 11:39:31
Postovi: 97
Lokacija: Beograd
Godina: Dipl.
Smer: IS
osmak1989 je napisao:
Ja sam na ovaj nacin radio, verovatno postoje i mnogi drugi :D

Nije ni bas jednostavan zadatak. :invert: Jesi li radio probni prijemni?

_________________
“Quiet people have the loudest minds.” Stephen Hawking


Share on FacebookShare on TwitterShare on Google+
Vrh
 Profil  
Odgovori sa citatom  
PostPoslato: 14.06.2015. 20:01:33 

Pridružio se: 08.07.2014. 19:23:59
Postovi: 113
Godina: I
Smer: IS
Mislila sam na probni od juce i nije logaritamska nego eksponencijalna, sorry :lol: evo to je ovaj osmi :)


Prikačeni fajlovi:
Probni 2015.pdf [74.84 KiB]
244 puta
Share on FacebookShare on TwitterShare on Google+
Vrh
 Profil  
Odgovori sa citatom  
PostPoslato: 14.06.2015. 20:05:42 

Pridružio se: 13.06.2015. 19:52:25
Postovi: 14
Godina: Padobranac
Smer: IS
BluesBlue je napisao:
osmak1989 je napisao:
Ja sam na ovaj nacin radio, verovatno postoje i mnogi drugi :D

Nije ni bas jednostavan zadatak. :invert: Jesi li radio probni prijemni?


Nisam, treba mi 7 sati vozom, pa me mrzelo, ali sam znao svaki uraditi, nije nio tezak.
Jesi li skontao ovaj sa trapezom ?


Share on FacebookShare on TwitterShare on Google+
Vrh
 Profil  
Odgovori sa citatom  
PostPoslato: 14.06.2015. 20:12:52 
Korisnikov avatar

Pridružio se: 15.04.2015. 11:39:31
Postovi: 97
Lokacija: Beograd
Godina: Dipl.
Smer: IS
SkontalA jesam, sad kad si objasnio. Sad cu resiti eksponencijalnu. :D

_________________
“Quiet people have the loudest minds.” Stephen Hawking


Share on FacebookShare on TwitterShare on Google+
Vrh
 Profil  
Odgovori sa citatom  
PostPoslato: 14.06.2015. 20:27:29 
Korisnikov avatar

Pridružio se: 15.04.2015. 11:39:31
Postovi: 97
Lokacija: Beograd
Godina: Dipl.
Smer: IS
Evo tog zadatka. :)


Prikačeni fajlovi:
IMG_20150614_212844.jpg
IMG_20150614_212844.jpg [ 155.55 KiB | Pogledano 6812 puta ]

_________________
“Quiet people have the loudest minds.” Stephen Hawking
Share on FacebookShare on TwitterShare on Google+
Vrh
 Profil  
Odgovori sa citatom  
Prikaži postove u poslednjih:  Poređaj po  
Započni novu temu Odgovori na temu  [ 322 Posta ]  Idi na stranicu Prethodni  1 ... 7, 8, 9, 10, 11, 12, 13  Sledeća


Ko je OnLine

Korisnici koji su trenutno na forumu: Nema registrovanih korisnika i 12 gostiju


Ne možete postavljati nove teme u ovom forumu
Ne možete odgovarati na teme u ovom forumu
Ne možete monjati vaše postove u ovom forumu
Ne možete brisati vaše postove u ovom forumu
Ne možete slati prikačene fajlove u ovom forumu

Pronađi:
Idi na:  
cron
Copyleft FONForum 2001-2014 | Powered by phpBB © phpBB Group