Započni novu temu Ova tema je zaključana, ne možete da menjate postove ili da odgovarate  [ 513 Posta ]  Idi na stranicu Prethodni  1 ... 13, 14, 15, 16, 17, 18, 19 ... 21  Sledeća
Autoru Poruka
 Tema posta:
PostPoslato: 16.01.2008. 18:48:09 
Korisnikov avatar

Pridružio se: 27.09.2007. 14:33:24
Postovi: 928
Godina: Dipl.
Smer: IS
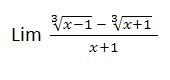
E ljudi jel zna neko princip ovoga kako se radi, neeee mogu nikako da se setim resenja... znam da ide preko one formule a^3-b^3 = ... ali ne mogu da se setim kako to da iskoristim:


Slika


Share on FacebookShare on TwitterShare on Google+
Vrh
 Profil  
Odgovori sa citatom  
 Tema posta:
PostPoslato: 16.01.2008. 18:58:27 
Korisnikov avatar

Pridružio se: 29.09.2007. 23:43:27
Postovi: 142
Godina: III
Smer: IS
a cemu tezi limes........mozda mozes da primenis lopitala.....pa ti ne treba razlika kubova


Share on FacebookShare on TwitterShare on Google+
Vrh
 Profil  
Odgovori sa citatom  
 Tema posta:
PostPoslato: 16.01.2008. 19:01:00 
Korisnikov avatar

Pridružio se: 27.09.2007. 14:33:24
Postovi: 928
Godina: Dipl.
Smer: IS
lupio sam ovaj primer posto ima neki slican u zbirci,bitan mi je samo ovaj princip kako da dobijem to iznad crte.. a u zbirci ima slican primer gde X tezi 0.
A kako bih mogao tu da primenim lopitala,sta bi trebalo da radim?


Share on FacebookShare on TwitterShare on Google+
Vrh
 Profil  
Odgovori sa citatom  
 Tema posta:
PostPoslato: 16.01.2008. 19:03:48 
Korisnikov avatar

Pridružio se: 26.09.2007. 22:50:11
Postovi: 2182
Godina: Dipl.
Smer: IS
treba da ga racionalises valjda, cini mi se da sam ja to tako radila u srednjoj

_________________
I live in my own world - but it's OK, they like me here! :cool:


Share on FacebookShare on TwitterShare on Google+
Vrh
 Profil  
Odgovori sa citatom  
 Tema posta:
PostPoslato: 16.01.2008. 19:11:20 
Korisnikov avatar

Pridružio se: 29.09.2007. 23:43:27
Postovi: 142
Godina: III
Smer: IS
da bi primenila lopitala izraz mora da bude 0/0 ili beskonacno kroz beskonacno, ako jeste onda radis prvi izvod izraza nad crtom i ispod crte......
ako hoces da racionalises ovaj izraz mnozis i delis sa (x-1)na2 +(x-1)(x+1)+(x+1)na2....inace ceo ovaj izraz je pod korenom stepena 3


Share on FacebookShare on TwitterShare on Google+
Vrh
 Profil  
Odgovori sa citatom  
 Tema posta:
PostPoslato: 16.01.2008. 19:14:12 
Korisnikov avatar

Pridružio se: 07.10.2006. 15:06:53
Postovi: 3435
Lokacija: ...own little world...
Godina: Dipl.
Smer: IS
hm... jel taj zadatak ne moze da se uradi, tako sto se podeli ceo izraz podeli sa x, pa kad to x dodje pod taj koren bude x^3... i ja na kraju dobijem da je limes=0...?

Znam da je pravilno preko te formule... ali...
mislim da se ceo izraz pomnozi sa: (treci koren od (x-1))^2 + (treci koren od (x-1))(treci koren od (x+1)) + (treci koren od (x+1))^2
*koristila sam formulu: (a^3-b^3)= (a - b)(a^2 - ab+b^2)
onda gore na kraju dobijesh samo x-1 -(x+1)...
a dole izmnozish sa onim gore i nemam pojma sta dalje..
(za to bih morala da uradim zadatak u svesci :) a mrzi me :) )
Svaka cast ako razumesh na sta mislim...

(hm iz ovoga sledi da ono sto sam ja mislila nije tacno)

_________________
If I could turn back time... I would do exactly the same.


Share on FacebookShare on TwitterShare on Google+
Vrh
 Profil  
Odgovori sa citatom  
 Tema posta:
PostPoslato: 16.01.2008. 19:14:44 
Korisnikov avatar

Pridružio se: 02.04.2007. 22:46:55
Postovi: 82
Lokacija: Bg
Godina: II
Smer: ME
ako ne budem bila zadovoljna ocenom sa ovog kolokvijuma, jer mogu da idem na popravni... pa da opet radim drugi kolokvijum?


Share on FacebookShare on TwitterShare on Google+
Vrh
 Profil  
Odgovori sa citatom  
 Tema posta:
PostPoslato: 16.01.2008. 19:21:35 
Korisnikov avatar

Pridružio se: 15.01.2008. 14:47:17
Postovi: 682
Lokacija: Bg/Cacak
Godina: I
Dominator je napisao:
E ljudi jel zna neko princip ovoga kako se radi, neeee mogu nikako da se setim resenja... znam da ide preko one formule a^3-b^3 = ... ali ne mogu da se setim kako to da iskoristim:


Slika


CEMU TEZI x OVDE ??

ako tezi beskonachno, onda samo pomnozis i podelis sa trecim korenom iz X...bar ja tako mislim :D

I ja sam dobio 0 isto kao koleginica ispod :)

_________________
Partizan le, Partizan ole ole, samo jedno ime znam, PARTIZAN BEOGRAD !!!


Poslednji put menjao *Bane* dana 16.01.2008. 19:24:17, izmenjena 2 puta

Share on FacebookShare on TwitterShare on Google+
Vrh
 Profil  
Odgovori sa citatom  
 Tema posta:
PostPoslato: 16.01.2008. 19:22:46 
Korisnikov avatar

Pridružio se: 07.10.2006. 15:06:53
Postovi: 3435
Lokacija: ...own little world...
Godina: Dipl.
Smer: IS
Sad sam radila na ovaj drugi nacin, opet dobijem 0 :D
(zato sto gore ostane -2 i xada se deli sa x to je 0... onda nije ni vazno sta pishe dole :) )
jel to tacno resenje? :D

_________________
If I could turn back time... I would do exactly the same.


Share on FacebookShare on TwitterShare on Google+
Vrh
 Profil  
Odgovori sa citatom  
 Tema posta:
PostPoslato: 16.01.2008. 19:24:51 
Korisnikov avatar

Pridružio se: 27.09.2007. 14:33:24
Postovi: 928
Godina: Dipl.
Smer: IS
Dadica je napisao:
da bi primenila lopitala izraz mora da bude 0/0 ili beskonacno kroz beskonacno, ako jeste onda radis prvi izvod izraza nad crtom i ispod crte......
ako hoces da racionalises ovaj izraz mnozis i delis sa (x-1)na2 +(x-1)(x+1)+(x+1)na2....inace ceo ovaj izraz je pod korenom stepena 3


Ahaa...hvala koleginice!


PS E ljudi LUPIO sam zadatak, morao bih prvo da se konsultujem sa kolegom Balticem da bi znao koje je uopste resenje tacno,nisam ja Arhimedes! Ali u knjizi ima neki primer gde treba da bude resenje 0!
Dobro ste uradili ne sumnjam ja u vas...


Share on FacebookShare on TwitterShare on Google+
Vrh
 Profil  
Odgovori sa citatom  
 Tema posta:
PostPoslato: 16.01.2008. 19:31:55 
Korisnikov avatar

Pridružio se: 07.10.2006. 15:06:53
Postovi: 3435
Lokacija: ...own little world...
Godina: Dipl.
Smer: IS
BlondY je napisao:
hm... jel taj zadatak ne moze da se uradi, tako sto se podeli ceo izraz podeli sa x, pa kad to x dodje pod taj koren bude x^3... i ja na kraju dobijem da je limes=0...?


a jel bi priznali ovako, bez te formule? cisto da znam, ovako mi je lakse, al ne znam dal' moze :D

_________________
If I could turn back time... I would do exactly the same.


Share on FacebookShare on TwitterShare on Google+
Vrh
 Profil  
Odgovori sa citatom  
 Tema posta:
PostPoslato: 16.01.2008. 19:33:23 
Korisnikov avatar

Pridružio se: 15.01.2008. 14:47:17
Postovi: 682
Lokacija: Bg/Cacak
Godina: I
BlondY je napisao:
BlondY je napisao:
hm... jel taj zadatak ne moze da se uradi, tako sto se podeli ceo izraz podeli sa x, pa kad to x dodje pod taj koren bude x^3... i ja na kraju dobijem da je limes=0...?


a jel bi priznali ovako, bez te formule? cisto da znam, ovako mi je lakse, al ne znam dal' moze :D


ja samo tako i znam da ga uradim, ima da ga priznaju... :)

_________________
Partizan le, Partizan ole ole, samo jedno ime znam, PARTIZAN BEOGRAD !!!


Share on FacebookShare on TwitterShare on Google+
Vrh
 Profil  
Odgovori sa citatom  
 Tema posta:
PostPoslato: 16.01.2008. 20:56:29 
Korisnikov avatar

Pridružio se: 25.09.2007. 12:12:49
Postovi: 1577
Godina: Padobranac
Smer: ME
Brate. Evo vam formula glupa.

(a^3+b^3)=(a+b)(a^2-ab+b^2)

(a^3-b^3)=(a-b)(a^2+ab+b^2)

Treba ti ova druga zagrada (a^2+ab+b^2)/(a^2+ab+b^2)=1 znaci taj polinom mozes da pomnozis sa 1 tj. (a^2+ab+b^2)/(a^2+ab+b^2) i onda imas.

a=(x-1)^3
b=(x+1)^3

[(x-1)-(x+1)]/{(x+1)[(x-1)^2+(x-1)(x+1)+(x+1)^2]}

x-1-x-1=-2 to je iznad.
A dole.

x^2-2x+1+x^2+x-x-1+x^2+2x+1=3(x^2)+1 i to je dole.


EDIT:

Ako limes tezi 0. Onda je resenje -2.

A ako limes tezi beskonacnosti, onda je 0 resenje.


NAPOMENA:

Ako je: 3(x^2)=1 tj. ako je x^2=1/3


Onda treba jos jedna stvar ceo izraz podeliti sa: 1/(x^2)/1/(x^2)=1

onda dobijamo: -2/(x^2) gore i (3+1)/(x^2) dole.

_________________
"Čovek je rob onih reči koje je izgovorio, a gospodar onih koje je zadržao u sebi." - Muhamed


Share on FacebookShare on TwitterShare on Google+
Vrh
 Profil  
Odgovori sa citatom  
 Tema posta:
PostPoslato: 16.01.2008. 21:53:55 
Korisnikov avatar

Pridružio se: 05.11.2007. 17:00:19
Postovi: 79
Lokacija: Nbg
Godina: III
Smer: IS
Dominator je napisao:
E ljudi jel zna neko princip ovoga kako se radi, neeee mogu nikako da se setim resenja... znam da ide preko one formule a^3-b^3 = ... ali ne mogu da se setim kako to da iskoristim:


Slika

e, a mozhe i preko meklarena, ako tezhi nuli, mada nema neke potrebe komplikovati ;)

je l' neko zna da objasni one greshke u lagranzhovom ili bilo kom obliku kod tejlora i maklorena??
i da li ce to uopshte biti?
ni na jednim vezhbama to nismo radili, a ja sam bila na svim :D a u zbirci(onoj sa zadacim asa kolokvijuma) se stalno vrti....
:(
bash me muche...
nećuuuu :udri:


Share on FacebookShare on TwitterShare on Google+
Vrh
 Profil  
Odgovori sa citatom  
 Tema posta:
PostPoslato: 16.01.2008. 21:56:06 
Korisnikov avatar

Pridružio se: 26.09.2007. 22:50:11
Postovi: 2182
Godina: Dipl.
Smer: IS
ne treba greske, rekla Vesna na vezbama.

_________________
I live in my own world - but it's OK, they like me here! :cool:


Share on FacebookShare on TwitterShare on Google+
Vrh
 Profil  
Odgovori sa citatom  
 Tema posta:
PostPoslato: 16.01.2008. 22:00:45 
Korisnikov avatar

Pridružio se: 05.11.2007. 17:00:19
Postovi: 79
Lokacija: Nbg
Godina: III
Smer: IS
mališa je napisao:
ne treba greske, rekla Vesna na vezbama.

HVALA! :D:D:D:D
a ja se ceo **beni dan cimam oko njih...

a koshijev kriterijum?
je l' ste radili to na vezhbama? mi smo kod baltica samo jedan zadatak i to mi isto nije jasno....


Share on FacebookShare on TwitterShare on Google+
Vrh
 Profil  
Odgovori sa citatom  
 Tema posta:
PostPoslato: 16.01.2008. 22:03:43 
Korisnikov avatar

Pridružio se: 17.11.2007. 19:12:54
Postovi: 3863
Godina: Apsolvent
Smer: IS
ne treba koshijev kriterijum :D


Share on FacebookShare on TwitterShare on Google+
Vrh
 Profil  
Odgovori sa citatom  
 Tema posta:
PostPoslato: 16.01.2008. 22:06:59 
Korisnikov avatar

Pridružio se: 12.02.2007. 21:46:48
Postovi: 163
Lokacija: Beograd
Godina: Dipl.
Smer: UK
mi koshijev kriterijum nismo radili...

rekli su da ce biti
1. tok funkcije
2. tejlora ili makloren
3. granicna vrednost niza ili funkcije

_________________
"Najveca tragedija ljubavi je svakako u tome sto ona nikad nije uzajamna. Kad volimo - nismo voljeni, a kad smo voljeni - ne volimo. nikad se ne desava da su osecaji i ceznja podjednako snazni." - MORAVIA


Share on FacebookShare on TwitterShare on Google+
Vrh
 Profil  
Odgovori sa citatom  
 Tema posta:
PostPoslato: 16.01.2008. 22:13:12 
Korisnikov avatar

Pridružio se: 15.01.2008. 14:47:17
Postovi: 682
Lokacija: Bg/Cacak
Godina: I
ja nisam bio na vezbama, ali sam skinuo predavanja Balticeva i nigde se ne pominje Koshi :zbun:

_________________
Partizan le, Partizan ole ole, samo jedno ime znam, PARTIZAN BEOGRAD !!!


Share on FacebookShare on TwitterShare on Google+
Vrh
 Profil  
Odgovori sa citatom  
 Tema posta:
PostPoslato: 16.01.2008. 22:17:58 
Korisnikov avatar

Pridružio se: 26.09.2007. 22:50:11
Postovi: 2182
Godina: Dipl.
Smer: IS
Bice ovo sto kaze nancy, nista van toga. Baltic je predavao sve i svasta, ali pola toga nece biti, rekla nam je Vesna da je samo ovo najbitnije

_________________
I live in my own world - but it's OK, they like me here! :cool:


Share on FacebookShare on TwitterShare on Google+
Vrh
 Profil  
Odgovori sa citatom  
 Tema posta:
PostPoslato: 16.01.2008. 22:33:47 
Korisnikov avatar

Pridružio se: 10.01.2008. 18:41:20
Postovi: 493
Lokacija: Beograd, Pozarevac
Godina: Dipl.
Smer: IS
Da li neko zna nesto o tackama nagomilavanja, da li one ulaze pod oblast granicna vrednost niza ili ne?


Share on FacebookShare on TwitterShare on Google+
Vrh
 Profil  
Odgovori sa citatom  
 Tema posta:
PostPoslato: 16.01.2008. 22:40:24 
Korisnikov avatar

Pridružio se: 25.09.2007. 14:30:14
Postovi: 78
Godina: Dipl.
Smer: IS
Koliko se secam Vesna je rekla da nam nece davati trigonometrijske funkcije da ispitujemo,jer se grafik mnogo lako crta....Da li sam je dobro razumela?:)


Share on FacebookShare on TwitterShare on Google+
Vrh
 Profil  
Odgovori sa citatom  
 Tema posta:
PostPoslato: 16.01.2008. 22:43:08 
Korisnikov avatar

Pridružio se: 24.06.2007. 09:15:04
Postovi: 1155
Lokacija: Crushevac - Urbs aeterna // Autocommand
Godina: Dipl.
Smer: IS
Da, tako reche i nama asistentkinja...

_________________
I am a colossal pervert. No form of sexual depravity is too low for me! Animal, vegetable or mineral – I'll do anything to anything!


Share on FacebookShare on TwitterShare on Google+
Vrh
 Profil  
Odgovori sa citatom  
 Tema posta:
PostPoslato: 16.01.2008. 22:43:29 
Korisnikov avatar

Pridružio se: 27.09.2007. 14:33:24
Postovi: 928
Godina: Dipl.
Smer: IS
Evo,slike govore više od hiljadu reči :D :
Slika


Share on FacebookShare on TwitterShare on Google+
Vrh
 Profil  
Odgovori sa citatom  
 Tema posta:
PostPoslato: 16.01.2008. 23:09:12 
Korisnikov avatar

Pridružio se: 25.09.2007. 12:12:49
Postovi: 1577
Godina: Padobranac
Smer: ME
Prvo pitanje tako je.
Drugo pitanje tako je.

I komentar ma sve se da srediti, samo treba skapirati kako. :ovaj:

_________________
"Čovek je rob onih reči koje je izgovorio, a gospodar onih koje je zadržao u sebi." - Muhamed


Share on FacebookShare on TwitterShare on Google+
Vrh
 Profil  
Odgovori sa citatom  
Prikaži postove u poslednjih:  Poređaj po  
Započni novu temu Ova tema je zaključana, ne možete da menjate postove ili da odgovarate  [ 513 Posta ]  Idi na stranicu Prethodni  1 ... 13, 14, 15, 16, 17, 18, 19 ... 21  Sledeća


Ko je OnLine

Korisnici koji su trenutno na forumu: Nema registrovanih korisnika i 17 gostiju


Ne možete postavljati nove teme u ovom forumu
Ne možete odgovarati na teme u ovom forumu
Ne možete monjati vaše postove u ovom forumu
Ne možete brisati vaše postove u ovom forumu
Ne možete slati prikačene fajlove u ovom forumu

Pronađi:
Idi na:  
Copyleft FONForum 2001-2014 | Powered by phpBB © phpBB Group