Započni novu temu Ova tema je zaključana, ne možete da menjate postove ili da odgovarate  [ 508 Posta ]  Idi na stranicu Prethodni  1, 2, 3, 4, 5, 6, 7, 8 ... 21  Sledeća
Autoru Poruka
 Tema posta:
PostPoslato: 16.01.2008. 15:36:15 
Korisnikov avatar

Pridružio se: 15.01.2008. 14:47:17
Postovi: 682
Lokacija: Bg/Cacak
Godina: I
^ e jbg onda nista... spremam se ja za februar :)

_________________
Partizan le, Partizan ole ole, samo jedno ime znam, PARTIZAN BEOGRAD !!!


Share on FacebookShare on TwitterShare on Google+
Vrh
 Profil  
Odgovori sa citatom  
 Tema posta:
PostPoslato: 16.01.2008. 15:37:01 
Korisnikov avatar

Pridružio se: 25.09.2007. 12:12:49
Postovi: 1577
Godina: Padobranac
Smer: ME
Ma bice drugi usmeni KOLOKVIJUM. ;) Na taj valjda moze da se izadje ako polozis drugi pismeni kolokvijum. :)

_________________
"Čovek je rob onih reči koje je izgovorio, a gospodar onih koje je zadržao u sebi." - Muhamed


Share on FacebookShare on TwitterShare on Google+
Vrh
 Profil  
Odgovori sa citatom  
 Tema posta:
PostPoslato: 16.01.2008. 15:40:16 
Korisnikov avatar

Pridružio se: 15.01.2008. 14:47:17
Postovi: 682
Lokacija: Bg/Cacak
Godina: I
Da. ali ne znam imas li pravo da prvo polazes drugi pa prvi !! ??

_________________
Partizan le, Partizan ole ole, samo jedno ime znam, PARTIZAN BEOGRAD !!!


Share on FacebookShare on TwitterShare on Google+
Vrh
 Profil  
Odgovori sa citatom  
 Tema posta:
PostPoslato: 18.01.2008. 19:54:55 
Korisnikov avatar

Pridružio se: 15.01.2008. 14:47:17
Postovi: 682
Lokacija: Bg/Cacak
Godina: I
Koji je uslov za izlazak na drugi usmeni???
PS. Na prvi usmeni nisam izasao!

_________________
Partizan le, Partizan ole ole, samo jedno ime znam, PARTIZAN BEOGRAD !!!


Share on FacebookShare on TwitterShare on Google+
Vrh
 Profil  
Odgovori sa citatom  
 Tema posta:
PostPoslato: 18.01.2008. 20:03:22 
Moderator
Korisnikov avatar

Pridružio se: 24.07.2006. 16:33:51
Postovi: 10041
Godina: Dipl.
Smer: IS
Polozen prvi usmeni... Mada ne mora da znaci da cete moci uvek da odgovarate iz delova.

_________________
There are three things all wise men fear: the sea in storm, a night with no moon, and the anger of a gentle man.


Share on FacebookShare on TwitterShare on Google+
Vrh
 Profil  
Odgovori sa citatom  
 Tema posta:
PostPoslato: 23.01.2008. 19:58:14 
Korisnikov avatar

Pridružio se: 27.09.2007. 14:33:24
Postovi: 928
Godina: Dipl.
Smer: IS
Meni rece jedan kolega sa druge godine da moze 28og da se polozi npr. samo prvi deo,pa onda sledeci put polazes drugi deo.

Jel bi znao neko da mi odgovori na sledeca pitanja:

Kako pitaju na usmenom Gausov algoritam posto tamo ima stvarno mnooogo da se pise i uzasno se zakomplikuje do kraja, ne znam da li je dovoljno objasniti samo prvi korak?I uopste ostala pitanja,jel traze bas sve da se pise ili okvirno?

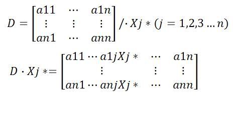
Kod inverzne matrice,sto je dole na slici,nije mi jasno kada se mnozi determinanta (D) sa Xj* (zvezdica je samo oznaka) zasto se ne mnozi svaki element, pocevsi od a11,nego se oni pojavljuju samo u sredini?Ako j ide od 1 do n,kao sto pise u skripti,koliko shvatam onda a1j sadrzi u sebi a11 i a12 i a13 ... a1n ?
Slika
Gledao sam ovo u knjizi,ali su i oni nesto zakomplikovali i ne mogu da razjasnim sebi...


Share on FacebookShare on TwitterShare on Google+
Vrh
 Profil  
Odgovori sa citatom  
 Tema posta:
PostPoslato: 23.01.2008. 22:07:38 
Korisnikov avatar

Pridružio se: 18.01.2008. 22:25:22
Postovi: 37
Godina: IV
Smer: ME
ljudi skroz je logicno da mozete 28 da odgavarate parcijalno jer ljudi koji su polagali ispit 22 ne mogu sutra da izadju na usmeni jer ne znaju da li su prosli tako da imaju mogucnost da 28 parcijalno polazu! ako to vec vazi za njih onda vazi i za vas! :D


Share on FacebookShare on TwitterShare on Google+
Vrh
 Profil  
Odgovori sa citatom  
 Tema posta:
PostPoslato: 24.01.2008. 14:56:06 
Korisnikov avatar

Pridružio se: 18.12.2007. 11:44:50
Postovi: 542
Godina: Dipl.
Smer: ME
je li, jel zna neko od starijih koja su glavna pitanja za drugi deo, ona koja moze da me pita i pored izvucenog pitanja, kao sto je za prvi npr. gaus, ili kroneker?


Share on FacebookShare on TwitterShare on Google+
Vrh
 Profil  
Odgovori sa citatom  
 Tema posta:
PostPoslato: 24.01.2008. 15:18:33 
Moderator
Korisnikov avatar

Pridružio se: 01.07.2007. 18:59:57
Postovi: 2549
Godina: Dipl.
Smer: IS
Profesor Lazovic mi je odgovorio na mail, i rekao da o tome da li cemo moci da 28. odgovaramo samo prvi deo u potpunosti zavisi od isipitivaca, i da on donosi odluku o tome na licu mesta...
Tako da ljudi, nema sta da se izgubi ako se izadje 28. moze samo da se dobije! :D


Share on FacebookShare on TwitterShare on Google+
Vrh
 Profil  
Odgovori sa citatom  
 Tema posta:
PostPoslato: 24.01.2008. 22:50:33 
Korisnikov avatar

Pridružio se: 07.10.2006. 15:06:53
Postovi: 3435
Lokacija: ...own little world...
Godina: Dipl.
Smer: IS
Ljudi, mene je djoric ostavio da 28. odgovaram samo vektore posto ih nisam znala, a drugo pitanje da radim u februaru..

Jel postoji sansa da me pita jos nesto pored vektora, i jel to samo za 6 il mogu i vecu ocenu da dobijem na tome (nista mi nije rekao)? :)

_________________
If I could turn back time... I would do exactly the same.


Share on FacebookShare on TwitterShare on Google+
Vrh
 Profil  
Odgovori sa citatom  
 Tema posta:
PostPoslato: 24.01.2008. 23:31:50 
Korisnikov avatar

Pridružio se: 09.01.2008. 17:08:54
Postovi: 31
Godina: I
BlondY je napisao:
Ljudi, mene je djoric ostavio da 28. odgovaram samo vektore posto ih nisam znala, a drugo pitanje da radim u februaru..

Jel postoji sansa da me pita jos nesto pored vektora, i jel to samo za 6 il mogu i vecu ocenu da dobijem na tome (nista mi nije rekao)? :)


Ako ti je napisao da ce samo to da te pita onda hoce,jer pogleda u papir i pita te to i ti onom ko deli ceduljice mozes da kazes da samo to treba i onda ti on da samo to pitanje koje treba da odgovaras.
sto se tice ocene mislim da mozes i vise od 6 da dobijes...valjda

_________________
THE END


Share on FacebookShare on TwitterShare on Google+
Vrh
 Profil  
Odgovori sa citatom  
 Tema posta:
PostPoslato: 25.01.2008. 19:24:14 
Moderator
Korisnikov avatar

Pridružio se: 07.11.2007. 20:52:15
Postovi: 5191
Lokacija: У илегали...
Godina: Dipl.
Smer: IS
A da li postoje neke kombinacije pitanja koje mogu doći na usmenom?


Share on FacebookShare on TwitterShare on Google+
Vrh
 Profil  
Odgovori sa citatom  
 Tema posta:
PostPoslato: 25.01.2008. 21:44:41 
Korisnikov avatar

Pridružio se: 10.01.2008. 18:41:20
Postovi: 493
Lokacija: Beograd, Pozarevac
Godina: Dipl.
Smer: IS
Ne secam se koji je bio ali sam sigurna da je bio iz drugog dela. Je l' si radio taj zadatak sto si dobio ili si samo odgovarao na pitanje?


Share on FacebookShare on TwitterShare on Google+
Vrh
 Profil  
Odgovori sa citatom  
 Tema posta:
PostPoslato: 25.01.2008. 22:27:48 
Korisnikov avatar

Pridružio se: 26.09.2007. 22:50:11
Postovi: 2182
Godina: Dipl.
Smer: IS
Ja sam recimo izvukla pitanje mesoviti proizvod vektora, i bio mi zadatak da dokazem komplanarnost neka tri vektora, i morala sam to da uradim u sklopu pitanja. Al kad bi neko sad izvukao taj isti kartoncic s pitanjima(a treba da odgovara samo drugi deo), on ne bi radio zadatak, jer na kartonu nikad nema zadataka za obe oblasti, vec samo za jednu. Zavisi samo koliko srece imate/imamo...

_________________
I live in my own world - but it's OK, they like me here! :cool:


Share on FacebookShare on TwitterShare on Google+
Vrh
 Profil  
Odgovori sa citatom  
 Tema posta:
PostPoslato: 26.01.2008. 15:28:04 
Korisnikov avatar

Pridružio se: 29.10.2007. 19:38:44
Postovi: 552
Godina: Dipl.
Smer: IS
Milic@ je napisao:
Je l' postoji mogucnost da nam dodje i zadatak da radimo?
Meni je na kartici sa ispitnim pitanjem na prvom usmenom, bio zadatak iz drugog dela, je l' taj zadatak radimo ili ne?


ja sam recimo matu2 odgovarala kod milice i nisam radila taj zadatak, nisam ga ni znala, ali ona me nije nista ni pitala u vezi njega, a dobila sam 9..e sad, znam da dajovic ponekad zna da smara oko tih zadataka, mada u principu je moguce provuci se i bez njega..
a matu1 sam odgovarala parcijalno, za prvi deo sam imala drugi a za drugi prvi zadatak na cedulji tako da sam se izvukla :D

_________________
haj ho haj ho


Share on FacebookShare on TwitterShare on Google+
Vrh
 Profil  
Odgovori sa citatom  
 Tema posta:
PostPoslato: 26.01.2008. 16:03:43 
Moderator
Korisnikov avatar

Pridružio se: 07.11.2007. 20:52:15
Postovi: 5191
Lokacija: У илегали...
Godina: Dipl.
Smer: IS
Gledam sad ispitno pitanje 42. Izvodi elementarnih funkcija. Dokaz, pa me zanima da li za svaku elementarnu funkciju mora da se zna dokaz, jer toga u knjizi ima baš puno? :((


Share on FacebookShare on TwitterShare on Google+
Vrh
 Profil  
Odgovori sa citatom  
 Tema posta:
PostPoslato: 26.01.2008. 16:09:42 
Korisnikov avatar

Pridružio se: 10.01.2008. 18:41:20
Postovi: 493
Lokacija: Beograd, Pozarevac
Godina: Dipl.
Smer: IS
Mislim da treba za svaku f-ju tj. za y=c, y=x, y=x^n, y=sin x i y=loga x


Share on FacebookShare on TwitterShare on Google+
Vrh
 Profil  
Odgovori sa citatom  
 Tema posta:
PostPoslato: 26.01.2008. 16:11:24 
Korisnikov avatar

Pridružio se: 11.01.2008. 21:32:28
Postovi: 35
Lokacija: Smederevo
Godina: II
Smer: UK
nauci izvod konstante, funkcije y=x. trigonometrijske za sin i cos,logaritamske i mislim da ne bi trebalo da nam traze vise... :stid:


Share on FacebookShare on TwitterShare on Google+
Vrh
 Profil  
Odgovori sa citatom  
 Tema posta:
PostPoslato: 27.01.2008. 19:09:50 

Pridružio se: 23.11.2007. 17:49:38
Postovi: 59
Godina: II
Smer: IS
Ljudi jer profesori ikad dopuste da se promeni pitanje, a da ti se naprimer smanji ocena ili tako nesto.

_________________
Don't forget to bring a towel!


Share on FacebookShare on TwitterShare on Google+
Vrh
 Profil  
Odgovori sa citatom  
 Tema posta:
PostPoslato: 27.01.2008. 19:13:50 
Moderator
Korisnikov avatar

Pridružio se: 24.07.2006. 16:33:51
Postovi: 10041
Godina: Dipl.
Smer: IS
Ne. Uopste ni ne uzimas pitanja od profesora, vec od asistenta, a ne dozvoljava se to...

_________________
There are three things all wise men fear: the sea in storm, a night with no moon, and the anger of a gentle man.


Share on FacebookShare on TwitterShare on Google+
Vrh
 Profil  
Odgovori sa citatom  
 Tema posta:
PostPoslato: 27.01.2008. 20:49:33 
Korisnikov avatar

Pridružio se: 07.10.2006. 15:06:53
Postovi: 3435
Lokacija: ...own little world...
Godina: Dipl.
Smer: IS
Pazi, sad na popravnom kolokvijumu, neka devojka je pre nego sto sam ja izvukla pitanje, pitala da vrati pitanje posto nije znala, i asistentkinja joj je rekla da s tim pitanjem ode kod djorica :)
A prvi put kad je bio usmeni kolokvijum, neki lik nije znao pitanje, i dali su mu da izvlaci ponovo.
Ali to su bili kolokvijujumi, sad ne znam kakvi ce biti sutra na ispitu :)

_________________
If I could turn back time... I would do exactly the same.


Share on FacebookShare on TwitterShare on Google+
Vrh
 Profil  
Odgovori sa citatom  
 Tema posta:
PostPoslato: 27.01.2008. 23:38:36 
Korisnikov avatar

Pridružio se: 04.09.2007. 10:06:22
Postovi: 228
Lokacija: Srce Srbije
Godina: III
Smer: IS
mickey_prydz je napisao:
Jel predlazete nekog ispitivacha? Ja mislim da bi Lazovic bio najgotivniji.

Moji utisci:
1. Milica - zato sto mi zena izgleda skroz mirno i kao da ce sve uraditi da ti pomogne da prodjes, tako sam i cuo od ljudi koji su polagali kod nje
2. Lazovic - po dosadasnjim utiscima, ko ima relativno mali broj poena sa pismenog(do 65 recimo) moze lako da prodje kod njega jer ga nece nesto muciti, dok ove sa vecim brojem poena zna da "cedi"
3. Djoric - po svim dosadasnjim pricama, najbolji izbor ukoliko ne znate pitanje koje ste izvukli

O ostalima se nisam raspitivao, ali kod njih(mozda bas zbog toga sto ne znam nista o njima) i ne bih bas isao.

_________________
Od vas trazim samo jedno, a to su dve stvari: red, rad i disciplina!


Share on FacebookShare on TwitterShare on Google+
Vrh
 Profil  
Odgovori sa citatom  
 Tema posta:
PostPoslato: 27.01.2008. 23:52:08 

Pridružio se: 22.06.2007. 23:11:23
Postovi: 577
Godina: Apsolvent
Smer: IS
Ја сам одговарао код Лазовића и прилично ме је цедио. Обавезно на концепту напишите СВЕ што знате. Питао ме је само једно питање, али зато неке "ситнице" које нисам написао на концепту су ме коштале веће оцене од 8. Такође, погледао је колико сам поена имао на писменом делу и кад је видео да сам имао 72 прокоментарисао је у фазону "Ок, овде сте једва навукли 8, ево још једна осмица". Реално, знао сам за 9, а да сам ишао код рецимо Ђорића, можда бих чак и 10 извукао.
Све зависи које питање извучете и колико сте учили. Ако сте учили само нека питања и имате среће да извучете баш оно што знате, мислим да је најбоље ићи код Лазовића, јер човек пита само то једно питање и крај. Ђорић те изрешета скоро цело градиво, али не захтева много.
То су нека моја искуства до сада и оно што сам начуо од других. Наравно, немојте слепо веровати никоме, па чак ни мени. То су ипак моја лична искуства.

_________________
Mudrosti


Poslednji put menjao Bokkie dana 27.01.2008. 23:53:17, izmenjena samo jedanput

Share on FacebookShare on TwitterShare on Google+
Vrh
 Profil  
Odgovori sa citatom  
 Tema posta:
PostPoslato: 28.01.2008. 14:03:44 
Moderator
Korisnikov avatar

Pridružio se: 01.07.2007. 18:59:57
Postovi: 2549
Godina: Dipl.
Smer: IS
Prema meni je prof. Djoric danas ispao i vise nego korektan! :D
Posto sam odgovarao samo prvi deo, kada sam mu se javio, on je pogledao koncept i rekao da je sve dobro, ali da je za parcijalno odgovaranje potrebno bas dobro znanje i da mora da me pita jos toga...I ja mu kazem moze. Prvo me je pitao da mu kazem kako glasi KK teorema, ja reko jednu recenicu, i on kaze dosta i pita me dal znam da je dokazem. Ja kazem ZNAM, a on meni ODLICNO! Pita me dal znam Kramera da dokazem, ja opet ZNAM, on opet ODLICNO! I nista nisam dokazivao, samo sam rekao da ZNAM!!! :D Doduse, stvarno sam znao, ali on to nije mogao da zna, pa me ipak nije cedio... Pitao me jos neko pitanje iz skupova, nesto opusteno, i dade mi covek 9, u fazonu, hteo da mi da 10 da nemam 'samo' 74 boda na prvom pismenom!
Tako da sam extra prosao, i mislim da cu u februaru drugi deo opet probati kod njega da odgovaram... :)


Share on FacebookShare on TwitterShare on Google+
Vrh
 Profil  
Odgovori sa citatom  
 Tema posta:
PostPoslato: 28.01.2008. 15:48:12 
Korisnikov avatar

Pridružio se: 27.09.2007. 14:33:24
Postovi: 928
Godina: Dipl.
Smer: IS
milica88 je napisao:
jel zna neko da li ce mozda biti neki popravni usmeni za ove koji su dali prvi deo i ostao im dr deo a nisu danas izasli ili preostaje samo onaj 17 feb??


Imas ti celu godinu,nije samo 17 februar ;)

Mene je Djoric malo z,posto sam znao sve,a pitao me je nesto usput sto nisam imao na skripti (bas je zavukao nesto,to sam mogao da znam jedino da sam ucio bas ceo prvi deo,od prve do poslednje reci,sto naravno nisam!!).A napisao mi je na papiru tamo "II deo u februaru" e sad mene zanima da li moram bas kod njega da idem opet 17og ili mogu kod nekog drugog? Posto ne bih tako da me seta po tom konfuznom gradivu,a treba mi visoka ocena...


Poslednji put menjao Dominator dana 28.01.2008. 15:51:49, izmenjena samo jedanput

Share on FacebookShare on TwitterShare on Google+
Vrh
 Profil  
Odgovori sa citatom  
Prikaži postove u poslednjih:  Poređaj po  
Započni novu temu Ova tema je zaključana, ne možete da menjate postove ili da odgovarate  [ 508 Posta ]  Idi na stranicu Prethodni  1, 2, 3, 4, 5, 6, 7, 8 ... 21  Sledeća


Ko je OnLine

Korisnici koji su trenutno na forumu: Nema registrovanih korisnika i 20 gostiju


Ne možete postavljati nove teme u ovom forumu
Ne možete odgovarati na teme u ovom forumu
Ne možete monjati vaše postove u ovom forumu
Ne možete brisati vaše postove u ovom forumu
Ne možete slati prikačene fajlove u ovom forumu

Pronađi:
Idi na:  
Copyleft FONForum 2001-2014 | Powered by phpBB © phpBB Group